宮城県工業高等学校
  • 行間

    表示色

    文字

  • ログイン

  • ホーム
  • 学校紹介
    • 学校紹介
    • 校長あいさつ
    • 学校の沿革
    • 教育目標・経営方針
    • 県工生スタンダード
    • 教育課程
    • 校歌紹介
    • 志教育
    • 志教育年間計画
    • 産学連携
  • 学科紹介
    • 学科紹介
    • 機械科
    • 電子機械科
    • 電気科
    • インテリア科
    • 化学工業科
    • 情報技術科
  • 進路・資格
  • 部活動
    • 部活動
    • 運動部
    • 文化部
    • 愛好会
  • 中学生・受験生の皆様へ
  • 在校生・保護者の皆様へ
    • 在校生・保護者の皆様へ
    • 教育相談
    • 保健室より
    • 学校評価
    • 学校いじめ防止基本方針
    • 部活動方針
  • 卒業生の方へ
    • 卒業生の方へ
    • 証明書の発行
    • 同窓会
  • 工業教育研究会
ホーム学校紹介 校長あいさつ学校の沿革教育目標・経営方針県工生スタンダード教育課程校歌紹介志教育志教育年間計画産学連携学科紹介 機械科電子機械科電気科インテリア科化学工業科情報技術科進路・資格部活動 運動部文化部愛好会中学生・受験生の皆様へ在校生・保護者の皆様へ 教育相談保健室より学校評価学校いじめ防止基本方針部活動方針卒業生の方へ 証明書の発行同窓会工業教育研究会

学校評価

◆令和6年度 学校評価報告書

 

 

◆令和6年度 学校評価アンケート集計結果

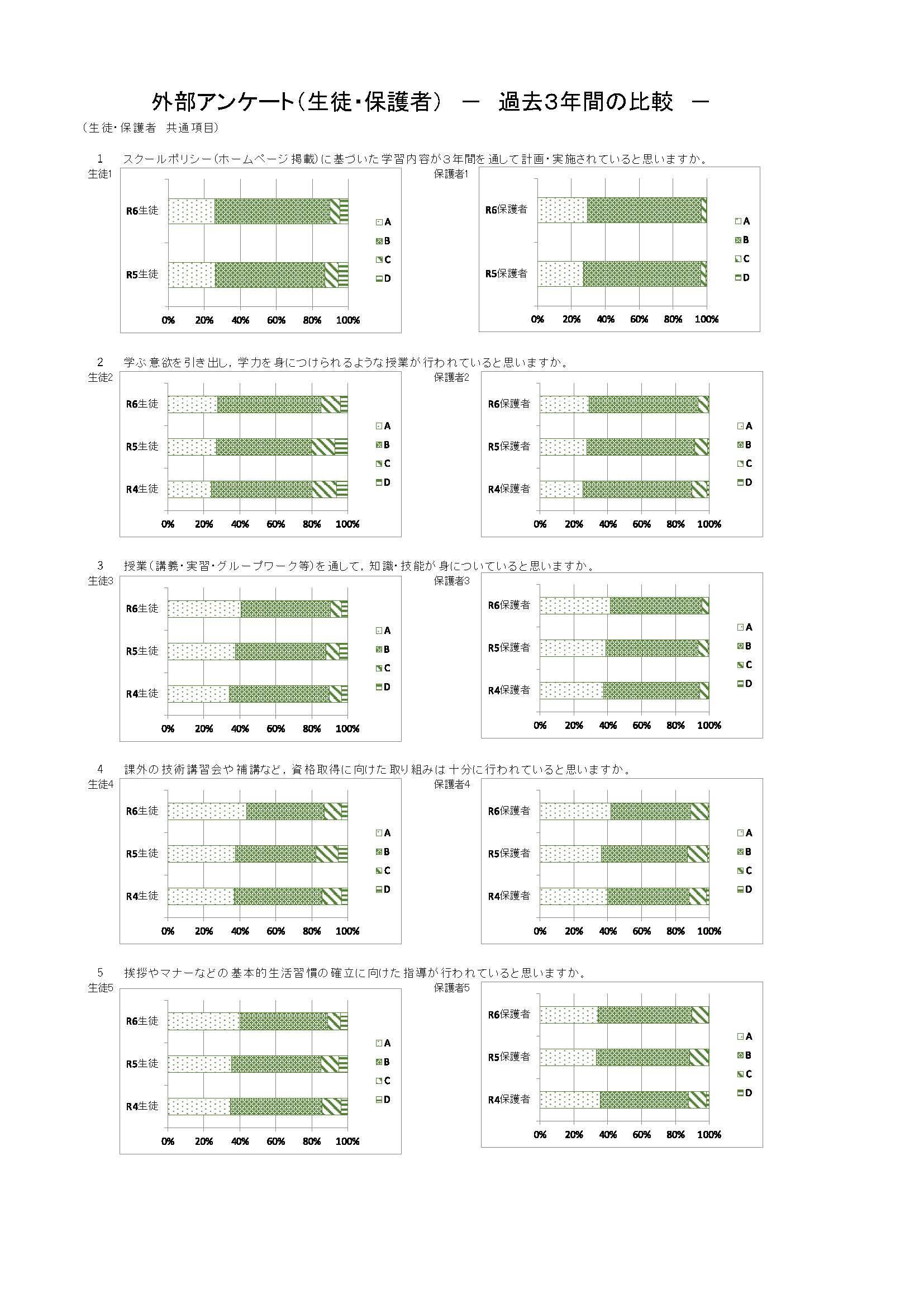
 ◆令和6年度 外部アンケート(生徒・保護者)過去3年間の比較

 

 

 

 

 

ピックアップ

県工スタンダードABC

工業高校って?(外部リンク)

専門高校ってどんなところ?(文部科学省公式動画チャンネル)

スクール・ミッション及びスクールポリシー

学食はありますか? お弁当は買えますか?

グループVol1 家庭科・調理Vol2 笑うVol3 給食・食事Vol4

緊急連絡用掲示板

緊急連絡用掲示板 RDF/RSS

新着情報をお知らせします。

トピックスがありません
2020/07/01

トピックスがありません
学校情報

宮城県工業高等学校
〒980-0813
宮城県仙台市青葉区米ケ袋三丁目2番1号
TEL : 022-221-5656
FAX : 022-221-5660

公立高校ガイドブック(高校教育課)

詳しいアクセスについてはこちら

アクセス数
3 3 2 1 5 2 1 1